1. Zadanie:
1. Preštudujte si katalógové údaje daného typu tranzistora.
2. Odmerajte na tranzistore typu ................ hodnoty pre zostrojenie siete charakteristík:
a) výstupnej Ic=f(Uce), Ib=konšt.
b) napäťovej prevodovej Ube=f(Uce), Ib=konšt.
c) vstupnej Ube=f(Ib), Uce=konšt.
d) Prúdovej prevodovej Ic=f(Ib), Uce=konšt.
3. Z nameraných hodnôt zostrojte sieť charakteristík
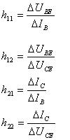
4. V charakteristikách vyznačte pracovný bod a v tomto bode určte h parametre tranzistora (h11.h12,h21,h22).
5. Urobte hodnotenie merania
2. Schéma zapojenia:
3. Tabuľky:
Tabuľka 1 pre charakteristiku Ic=f(Uce), Ube=f(Uce)
| Č.m. | Ib1= mA | Ib2= mA | Ib3= mA | ||||||
| Uce (V) | Ic (mA) | Ube(V) | Uce (V) | Ic (mA) | Ube(V) | Uce (V) | Ic (mA) | Ube(V) | |
Tabuľka 2 pre charakteristiku Ic=f(Ib), Ube=f(Ib)
| Č.m. | Uce= V | Uce= V | Uce= V | ||||||
| Ib (mA) | Ic (mA) | Ube(V) | Ib (mA) | Ic (mA) | Ube(V) | Ib (mA) | Ic (mA) | Ube(V) | |
4. Graf:

5. Vzorce: